语言选择
中文版
English
首页
关于科汇生物医药
产品中心
医药中间体
医药原料药
质量为主、诚信为本
了解更多 →
新闻中心
公司新闻
行业动态
专业的服务与您真诚合作,互惠共赢
了解更多 →
人力资源
岗位
薪酬福利
应聘方式
欢迎您的加入
了解更多 →
联系我们
当前位置 :
网站首页
> 产品中心 > 医药原料药
医药原料药
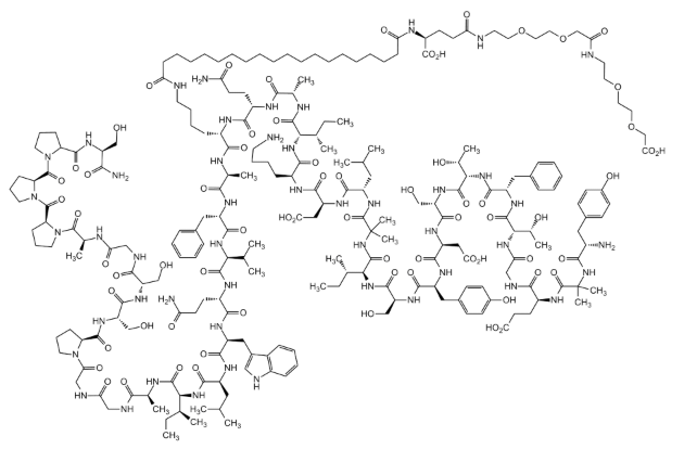
替尔泊肽
中文品名:替尔泊肽
英文品名:Tirzepatide
CAS No.:2023788-19-2
询价
关闭
请描述您的意见建议...
详细内容
用途
Tirzepatide 与 semaglutide 有着类似的序列,序列中的 lys 侧链带有 PEG 修饰,是多肽的官能团,同时能够增加序列的水溶性。Tirzepatide 主要生理功能是葡萄糖依赖性胰岛素营养多肽(GIP)和胰高血糖素样肽 - 1(GLP-1)受体双重激动剂,正在开发用于治疗 2 型糖尿病,已经进入临床阶段。
前一页:
利格列汀
[ 返回 ]
下一页:
乌帕替尼